在构建企业分析时,有三个维度是很重要的:业务链、产业链、面向对象,不同的人员在不同的业态下除了配置报表外,在数据分析阶段还可以设置主题分析的内容,自上而下的目标监控,自下而上的原因反馈。
如何搭建大数据分析平台?
很多企业都开始数据治理,并探索不同工具和方法来实现。然而,企业往往又会被不同的解决方案所困惑。
那么,企业应该如何搭建大数据分析平台,选择大数据解决方案呢?主要考虑以下6个重要方面:
01分析蓝图
无论是从哪一类具体的分析需求开始,对于分析的构建,都需要设想整个蓝图。
在构建企业分析时,有三个维度是很重要的:业务链、产业链、面向对象,不同的人员在不同的业态下除了配置报表外,在数据分析阶段还可以设置主题分析的内容,自上而下的目标监控,自下而上的原因反馈。
为了更好地提升企业级能力,在商业分析到一定阶段后,要做全价值链分析,同时,针对多业态的产业链,要做统一的价值体系。
02数据采集
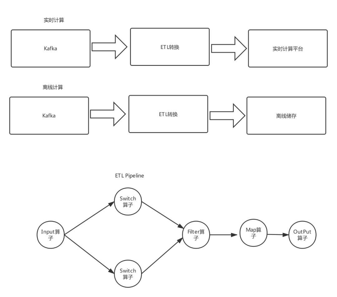
说到数据采集,就要提到数据中台。前几年企业主要在做一些基础信息化建设,包括ERP/零售/协同等,这些成为企业的内部数据。同时,企业也会涉及一些外部数据,如Saas数据、政务平台数据等。
分析云是把企业内部数据和外部数据都放到中台里面,内部数据是通过数据抽取的,对接ERP直接抽取;外部数据是采用云服务,爬虫的。数据中台的所有数据是在企业端的,安全可靠且稳定。
在数据中台里,还会对数据进行处理,因为这些数据有可能是异构系统,对主数据的管理,数据治理等;一切业务数据化,一切数据业务化。
分析云产品架构
03语义模型
“语义层”技术通过对数据库里的有关数据项定义,把数据库中的数据定义成有明确业务含义的名称,业务人员所面对的不再是数据库中的表、字段和它们之间复杂的关联、计算关系,而是熟悉的业务术语和指标名称。
业务用户可以基于“语义层”简单快速地构建业务分析,实现业务人员做分析,IT人员做支持,提升分析效率及数据准确性。
分析云语义层结构
04敏捷智能
自助分析:人人都可自助分析,即使不懂代码,也可以做数据分析;
开箱即用:预置了U8/NC/K3等主流ERP的财务和供应链分析主题,开箱即用,扩展简单;
智能分析:支持同比、环比、占比、排名、预警、预测、高级计算等功能。
智能预警:可以对不同的用户设置不同的预警值,通过邮件、钉钉、。
智能预算:通过对企业内外部环境的分析,在预测与决策基础上,调配相应的资源,对企业未来一定时期的经营和财务等做出一系列具体计划。
05展现
丰富的可视化图形元素,尤其是表格,如固定表、垂直表、交叉表、复合表等,要能满足复杂的式报表和大表。
不仅能够支持PC端应用,还可接入移动端,或大屏展现等。
分析云可视化元素
06版本升级
提供免费/在线/自动更新升级,产品能够不断迭代,bug修复和新功能升级等。在升级后保留二次开发的内容,且不影响原有分析设计。
数钥分析云,值得企业拥有!
数钥分析云,能提供面向企业业务场景的一站式大数据分析解决方案,基于大数据、移动互联网、人工智能等先进技术,全面支撑企业业务创新,随时随地透视经营,辅助企业科学决策,加速企业数据化转型升级,助力企业进行精准营销、战略管控、风险预警等。

大数据怎么查询个人活动轨迹?
大数据知道人的行踪的原理分析
方法/步骤
1/9分步阅读
随着互联网技术的发展和存储分析能力的不断提高,大数据已经成为国家和社会各行各业的必须。通过大数据,可以清晰地调取和分析判断每个人的行踪,那么它是通过什么实现的呢?
2/9
大数据,实际就是各种信息资源的汇总、分析、共享,每个人在社会上工作、生活,都有各种活动轨迹,只要把这些轨迹捕捉到,用时间轴一串联,个人的行踪就暴露无遗了。
3/9
具体的手段至少有如下:
4/9
1、手机。现在人人离不开手机,你只要带着手机,就能给你定位,你的活动轨迹就拉出来了。手机你要打,把这些内容调出来,你的对外联系就全部掌握了。手机购物消费,你的消费物品、价格、购买地点、到货和使用地点就都有了。
5/9
2、购物,你外出购物,只要开发票,你的消费也知道了。
6/9
3、身份证。现在外出很多地方都需要身份证,你只要用过身份证的地方,全部留痕,出行轨迹一目了然。
7/9
4、车辆。你的车是有你很多信息的,你开车出行,到处是摄像头,你一路走来,全部有记录。
8/9
5、天网。现在各处摄像头,你即使什么东西都不带,只要出门,就有录像记录你的行踪。
9/9
把以上信息一汇总,你的行踪全部一览无余。
?
1.打开
2.点击搜索按钮
3.输入行程卡,点击通信行程卡
4.输入手机号和验证码,点击圆圈,点击查询即可
全国有多少家大数据查询机构?
全国范围来看,大数据查询机构有很多,阿里巴巴和腾讯都有自己的大数据查询系统,对使用者进行数据收集和甄别。
怎么查个人大数据?
打开你的吉事办里边就有,一个形成大数据卡,点开,输入手机号,人脸识别,最后点一个方块的,有一个对勾点上就可以查询到